Soal Fisika Matematika Materi Tentang Integral Lipat Tiga Dan Pembahasannya
Soal Fisika Matematika Materi Tentang Integral Lipat
Tiga Dan Pembahasannya
Soalnya:
Hitunglah:
Langkah pertama yang harus kita lakukan adalah
menerjemakan himpunan yang terpaparkan di soal ke dalam bentuk integralnya.
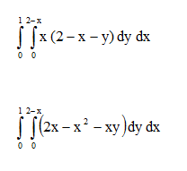
Untuk menyelesaiakan soal diatas, kita selesaikan
integralnya satu persatu, dari dalam keluar, sehingga kita integral terlebih
dahulu terhadap dz, maka menjadi:
Selanjutnya kita subtitusikan batas atas (2-x-y)
pada variabel z, sedangkan batas bawah tidak perlu, sebab nilai batas bawah adalah
0 (nol).
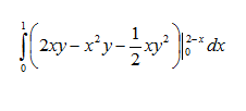
Langkah berikutnya adalah, kita selesaikan integral dy, sehingga diperoleh hasilnya adalah
sebagai berikut.
Sama seperti
sebelumnya, kita subtitusikan batas atas (2-x) pada variabel y, sedangkan batas
bawah tidak perlu, sebab nilai batas bawah adalah 0 (nol).
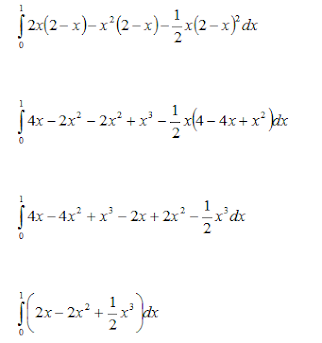
Kita telah melakukan
penyelesaian soal integral dari dalam keluar, yakni terhadap dz dan terhadap dy. Langkah terakhir dalam menyelesaikan soal ini adalah melakukan
integral terhadap dx.
Selanjutnya, kita
subtitusikan batas atas pada variabel x,
maka








Komentar
Posting Komentar